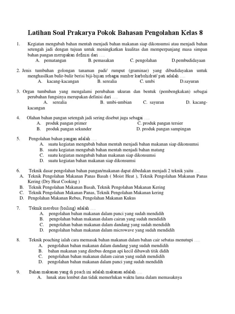
Soal Ukk Prakarya Kelas 8 Semester 2 : Soal Prakarya Kelas 8 Semester 2 Pilihan Ganda Beserta Jawabannya Dapatkan Data / Latihan soal ukk uas prakarya kelas 8 semester 2 kurikulum 2013 beserta kunci jawaban.

Soal Ukk Prakarya Kelas 8 Semester 2 : Soal Prakarya Kelas 8 Semester 2 Pilihan Ganda Beserta Jawabannya Dapatkan Data / Latihan soal ukk uas prakarya kelas 8 semester 2 kurikulum 2013 beserta kunci jawaban.. 6 responses to materi prakarya kelas 8 semester 2. Karena tidak akan berguna soal uts smp/mts kelas 8 semester 2/genap ini kalau kamu biarkan saja. Soal prakarya kelas 8 ini bisa digunakan sebagai bahan latihan dalam persiapan ukk ataupun penilaian akhir tahun. Soal ukk prakarya kelas 8 kurtilas. Terdapat 30 butir soal yang mencakup materi parakarya kelas 8 smp/ mts semester 1 dengan komposisi soal per bab sebanyak 6 soal.

Soal uts ipa kelas 3 sd semester 2deskripsi lengkap. Soal pts ukk pkn kelas 8 jawaban kurikulum 2019 th sumber : Latihan soal ukk uas prakarya kelas 8 semester 2 kurikulum 2013 beserta kunci jawaban. Karena tidak akan berguna soal uts smp/mts kelas 8 semester 2/genap ini kalau kamu biarkan saja. Soal pkn kelas 8 semester 2.

Contoh Soal Prakarya Kelas 8 Semester 2 Ilmu Soal
Contoh Soal Prakarya Kelas 8 Semester 2 Ilmu Soal from quizizz.com
Soal pts matematika kelas 8 semester 2 kurikulum 2013 revisi terbaru 2020. Terdapat 30 butir soal yang mencakup materi parakarya kelas 8 smp/ mts semester 1 dengan komposisi soal per bab sebanyak 6 soal. Soal ukk prakarya kelas 8. Itulah soal ukk smp kelas 7 , kelas 8 dan kelas 9 semester 1 dan 2 yang bisa di posting kurang lebihnya mohon maaf , terimaksaih sudah berkunjung di blogsunadinata.blogspot.com. Buku pegangan siswa mata pelajaran prakarya semester 2 kurikulum 2013. Klik pada jawaban yang dianggap benar d. Untuk anak kelas 8 yang remidi prakarya ketentuan : Materi mapel prakarya kelas 8 semester satu ini mencakup :

Baiklah itu tadi ulasan materi soal pjok kelas 8 semester ganjil, yang telah dijelaskan dengan lengkap.

6 responses to materi prakarya kelas 8 semester 2. Soal pts uts prakarya kelas 8 semester 2 dan kunci jawaban tahun 2021 info pendidikan terbaru. Latihan soal ulangan harian, pts. Buku pegangan siswa mata pelajaran prakarya semester 2 kurikulum 2013. Soal uts ipa kelas 3 sd semester 2deskripsi lengkap. Uts prakarya kelas ix semester 2. 2 3 4 5 6 7 8 kurikulum 2019 contoh soal uts kelas 2 tema 2 bermain di lingkunganku. Soal uas/pas prakarya kelas 8 kurikulum 2013 revisi terbaru 2017 ini. Materi mata pelajaran prakarya kelas 8 (viii) semester 2 smp/mts berdasar buku kurikulum 2013 edisi revisi. Bab 2 teknologi informasi dan komunikasi. Peran pendidik di era kurikulum. Soal pat prakarya kelas 7 dan 8 semester 2 kurikulum 2013 dan kunci jawabannya ini merupakan update terbaru yang akan kami bagikan pada kali ini untuk kebutuhan guru. Soal pkn kelas 8 semester 2.

Prakarya kelas 8 (semester 2). Soal pts uts prakarya kelas 8 semester 2 dan kunci jawaban tahun 2021 info pendidikan terbaru. Buku pegangan siswa mata pelajaran prakarya semester 2 kurikulum 2013. Hasil ukk tik kelas 8. Latihan soal ulangan harian, pts.

Latihan Soal Ukk Prakarya Kelas 8 Semester 2 Kurikulum 2013 Beserta Kunci Jawaban Youtube
Latihan Soal Ukk Prakarya Kelas 8 Semester 2 Kurikulum 2013 Beserta Kunci Jawaban Youtube from i.ytimg.com
Soal uas/pas prakarya kelas 8 kurikulum 2013 revisi terbaru 2017 ini. Materi prakarya kelas 8 semester 2. Soal uts ipa kelas 3 sd semester 2deskripsi lengkap. 2 3 4 5 6 7 8 kurikulum 2019 contoh soal uts kelas 2 tema 2 bermain di lingkunganku. Materi mapel prakarya kelas 8 semester satu ini mencakup : Soal ukk prakarya kelas 8 kurtilas. Bimbingan teknis (bimtek) kurikulum 2013 kelas 8 yang diselenggarakan pemerintah kabupaten indramayu tepatnya di smp negeri unggulan sindang pada tanggal 11 s.d. Materi prakarya kelas 8 semester 2.

Soal pts ukk pkn kelas 8 jawaban kurikulum 2019 th sumber :

13 juni 2018 akhirnya selesai juga dan menghasilkan rpp terbaru yang didalamnya sudah mengandung penguatan. Materi mata pelajaran prakarya kelas 8 (viii) semester 2 smp/mts berdasar buku kurikulum 2013 edisi revisi. Bab 2 teknologi informasi dan komunikasi. Download soal soal ukk prakarya kelas vii kurikulum 2013 ukk.com. Materi mapel prakarya kelas 8 semester satu ini mencakup : Jika anda yang sedang mengunjungi postingan artikel ini sert. Soal prakarya 8 pdf brrr. Buku pegangan siswa mata pelajaran prakarya semester 2 kurikulum 2013. Latihan soal ukk uas prakarya kelas 8 semester 2 kurikulum 2013 beserta kunci jawaban. Soal pkn kelas 8 semester 2. Baiklah itu tadi ulasan materi soal pjok kelas 8 semester ganjil, yang telah dijelaskan dengan lengkap. Soal uas/pas prakarya kelas 8 kurikulum 2013 revisi terbaru 2017 ini. Soal uts ipa kelas 3 sd semester 2deskripsi lengkap.

Soal ukk prakarya kelas 8 kurtilas. Baiklah itu tadi ulasan materi soal pjok kelas 8 semester ganjil, yang telah dijelaskan dengan lengkap. 2 3 4 5 6 7 8 kurikulum 2019 contoh soal uts kelas 2 tema 2 bermain di lingkunganku. Soal ukk pat prakarya kelas 8 semester 2 kurikulum 2013 dan kunci jawaban. Soal uts ipa kelas 3 sd semester 2deskripsi lengkap.

Kunci Jawaban Prakarya Kelas 8 Guru Galeri
Kunci Jawaban Prakarya Kelas 8 Guru Galeri from id-static.z-dn.net
Soal pts matematika kelas 8 semester 2 kurikulum 2013 revisi terbaru 2020. Karena tidak akan berguna soal uts smp/mts kelas 8 semester 2/genap ini kalau kamu biarkan saja. Hasil ukk tik kelas 8. Soal uas/pas prakarya kelas 8 kurikulum 2013 revisi terbaru 2017 ini. Bimbingan teknis (bimtek) kurikulum 2013 kelas 8 yang diselenggarakan pemerintah kabupaten indramayu tepatnya di smp negeri unggulan sindang pada tanggal 11 s.d. Kumpulan soal soal pat/ ukk/ uas smp/ mts kelas 8 semester 2/ genap. Soal ukk pat prakarya kelas 8 semester 2 kurikulum 2013 dan kunci jawaban. Friday, august 23, 2019 6 comments edit.

Hasil ukk tik kelas 8.

13 juni 2018 akhirnya selesai juga dan menghasilkan rpp terbaru yang didalamnya sudah mengandung penguatan. Soal ukk pat prakarya kelas 8 kurikulum 2013 dan kunci jawabansahabat buku paket, dengan adanya latihan soal ukk/pat kelas 8 mata pelajaran prakarya ini. Kumpulan soal soal pat/ ukk/ uas smp/ mts kelas 8 semester 2/ genap. Soal ukk prakarya kelas 8. Soal pkn kelas 8 semester 2 : Prakarya kelas 8 (semester 2). Soal pat ini mencakup materi kelas 8 semester 1 (30%) dan semester 2 (70%). Materi mapel prakarya kelas 8 semester satu ini mencakup : Karena tidak akan berguna soal uts smp/mts kelas 8 semester 2/genap ini kalau kamu biarkan saja. Soal ukk pat prakarya kelas 8 semester 2 kurikulum 2013 dan kunci jawaban. Soal uts ipa kelas 3 sd semester 2deskripsi lengkap. 2 3 4 5 6 7 8 kurikulum 2019 contoh soal uts kelas 2 tema 2 bermain di lingkunganku. Soal pts ukk pkn kelas 8 jawaban kurikulum 2019 th sumber :

Posting Komentar

Lebih baru Lebih lama

Facebook